Lecture 08: Hamiltonian Monte Carlo and Variational Inference

Chun-Hao Yang

Motivation

  • In theory, the Metropolis algorithm (with an arbitrary proposal) works for any distribution in any dimension.
  • In practice, the Metropolis algorithm is inefficient for high-dimensional distributions.
  • Current research in MCMC focuses on finding good proposals to speed-up the algorithm, together with theoretical guarantees, e.g., making sure that the chain converges to the target distribution.
  • In this lecture, we will introduce two popular MCMC algorithms: Hamiltonian Monte Carlo (HMC) and No-U-Turn Sampler (NUTS).
  • These two algorithms are the ones used in the Stan software.

A few words about acceptance rate

Ideally, we want the acceptance rate to be far from 0 and 1.

  • If the acceptance rate is too low, the Markov chain is not moving.
  • If the acceptance rate is too high, the Markov chain is only exploring the high-density region.

Adaptive MCMC

  • In the original Metropolis algorithm, the proposal distribution is fixed.
  • This can be inefficient, since after some exploration, we gain some knowledge about the target distribution, and we can use this knowledge to improve the proposal distribution.
  • This can be easily implemented, e.g., reducing the variance of Gaussian proposal every 100 iterations.
  • However, the theoretical analysis is complicated since the Markov chain is no longer time-homogeneous.
  • Can we assure that the adaptive Markov chain still converges to the target distribution?

Optimal Gaussian proposal

  • Let \(\pi\) be a distribution supported on \(\Theta \subseteq \mathbb{R}^d\).
  • We want to sample from \(\pi\) using Metropolis algorithm with a Gaussian proposal \(N_d(\theta^{(t-1)}, \Xi)\).
  • What is the optimal choice of \(\Xi\)?
  • What do we mean by optimal in MCMC? We want the fastest convergence of the Markov Chain.
  • Roberts & Rosenthal (2001)1 showed that, under some conditions on \(\pi\), the optimal choice is \[ \Xi = \frac{2.38^2}{d} \Sigma_{\pi}, \] where \(\Sigma_{\pi}\) is the covariance matrix of \(\pi\). But we don’t know \(\Sigma_{\pi}\)!

Adaptive Random Walk Metropolis

  • Algorithm:
    1. At \(t\)th iteration, compute \(\hat{\Sigma}_n\) using \(\theta^{(1)}, \ldots, \theta^{(t-1)}\).
    2. Sample \(\theta^*\) from \(N_d\left(\theta^{(t-1)}, \frac{(2.38)^2}{d}\hat{\Sigma}_n\right)\).
    3. Compute the acceptance ratio \(\rho(\theta^{(t-1)}, \theta^{*})=\min\left\{\frac{\pi(\theta^* \mid x)}{\pi(\theta^{(t-1)} \mid x)}, 1\right\}\).
    4. Set \[ \theta^{(t)}= \begin{cases}\theta^* & \text { with prob. } \rho(\theta^{(t-1)}, \theta^{*}) \\ \theta^{(t-1)} & \text { with prob. } 1-\rho(\theta^{(t-1)}, \theta^{*}).\end{cases} \]
  • The simplest choice of \(\hat{\Sigma}_n\) is the sample covariance matrix.
  • However, it is not a good choice in high dimensions.
  • Google: ``High-dimensional covariance estimation’’!

Does it work?

  • The adaptive RWM works well in practice, but the theoretical analysis is difficult.
  • Adaptation: the change of proposal distribution over time.
  • For an adaptive MCMC algorithm to work, the adaptation must satisfy two requirements:
    • Diminishing adaptation: the adaptation must diminish over time.
    • Containment: the time to stationary from \(X_t\) is bounded, if we fix the adaptation at \(t\), i.e., stop changing proposal distribution after time \(t\).

Metropolis-adjusted Langevin algorithm (MALA)

  • Proposal: \(\theta^{(t)} \sim N_d\left(\theta^{(t-1)} + \frac{1}{2}\Sigma\nabla\log\pi(\theta^{(t-1)}), \Sigma\right)\)
  • This proposal is inspired by Langevin diffusion, and is non-symmatric.
  • You can also make MALA adaptive by replacing \(\Sigma\) with \(\frac{(2.38)^2}{d}\hat{\Sigma}_n\).

Hamiltonian Monte Carlo (HMC)1

  • The main reason that random walk Metropolis is inefficient is that it explores the parameter space by diffusing around.
  • Hamiltonian dynamics can be used to produce distant proposals for the Metropolis algorithm.
  • The idea behind HMC:

Hamiltonian dynamics

  • Let \(p\) be a particle with position \(x\) and velocity \(v\).
  • The Hamiltonian of \(p\) is the sum of its potential energy and kinetic energy: \[ H(x, v) = U(x) + K(v). \]
  • The potential energy \(U(x)\) is proportional to the height at \(x\).
  • The kinetic energy is \(K(v) = \frac{1}{2}mv^Tv\), where \(m\) is the mass of the particle \(p\).
  • The momentum of \(p\) is defined as \(y = mv\) and hence \(K(y) = \frac{y^Ty}{2m}\).
  • The total energy is constant:
    • when \(p\) moves upward, potential energy increases and kinetic energy decreases;
    • when \(p\) moves downward, potential energy decreases and kinetic energy increases.

Hamiltonian dynamics

  • Let \(x(t)\) be the position of \(p\) at time \(t\) and \(y(t)\) be the momentum of \(p\) at time \(t\).
  • Define the potential energy to be \(U(x) = -\log \pi(x)\), where \(\pi(x)\) is our target distribution.
  • Hence the Hamiltonian is \[ H(x, y) = -\log \pi(x) + \frac{y^Ty}{2m}. \]
  • In Hamiltonian dynamics, the pair \((x(t), y(t))\) satisfies a set of differential equations, given by \[ \begin{aligned} \frac{dx_i}{dt} &= \frac{\partial H}{\partial y_i} = \frac{\partial K}{\partial y_i} = \frac{y_i}{m},\\ \frac{dy_i}{dt} &= -\frac{\partial H}{\partial x_i} = -\frac{\partial U}{\partial x_i} = \frac{\partial \log \pi(x)}{\partial x_i}, \quad i = 1,\ldots,d. \end{aligned} \]

HMC

  • The HMC is actually sampling from \[ p(x, y) \propto \exp(-H(x, y)) = \pi(x)\exp\left(-\frac{y^Ty}{2m}\right). \]
  • That is, \(X \sim \pi\) and \(Y \sim N(0, m^{-1}I)\) are independent.
  • At \(n\)th iteration, we randomly assign a momentum \(y \sim N(0, m^{-1}I)\) to \(x^{(n-1)}\).
  • Let \((x(0), y(0)) = (x^{(n-1)}, y)\).
  • Evolve \((x(0, y(0)))\) for time \(t\) according to Hamiltonian dynamics and get \((x(t), y(t))\).
  • Accept \((x(t), y(t))\) with probability \[ \rho = \frac{\exp(-H(x(t), y(t)))}{\exp(-H(x(0), y(0)))} = \exp(-H(x(t), y(t)) + H(x^{(n-1)}, y)). \]
  • If accepted, set \(x^{(n)} = x(t)\); otherwise, set \(x^{(n)} = x^{(n-1)}\).

Evolution of Hamiltonian dynamics

  • Given \((x(0), y(0))\), we can evolve \((x(t), y(t))\) for time \(t\) by solving the Hamiltonian equations.
  • The most natural way is Euler’s method: \[ \begin{aligned} x_i(t + \epsilon) &= x_i(t) + \epsilon\frac{dx_i}{dt}(t) = x_i(t) + \epsilon \frac{y_i(t)}{m},\\ y_i(t + \epsilon) &= y_i(t) + \epsilon\frac{dy_i}{dt}(t) = y_i(t) + \epsilon \frac{\partial}{\partial x_i}\log \pi(x(t)). \end{aligned} \]
  • It turns out that the Euler method is inaccurate, and the most widely used method is the leapfrog method.

Leapfrog method

  • The leapfrog method maps \((x(t), y(t))\) to \((x(t+\epsilon), y(t+\epsilon))\) through the following steps:
    1. \(y(t + \epsilon/2) = y(t) + \frac{\epsilon}{2}\nabla_x \log \pi(x(t))\);
    2. \(x(t + \epsilon) = x(t) + \epsilon\frac{y(t + \epsilon/2)}{m}\);
    3. \(y(t + \epsilon) = y(t + \epsilon/2) + \frac{\epsilon}{2}\nabla_x\log \pi(x(t + \epsilon))\).
  • In HMC, the leapfrog method evolves \((x(0), y(0))\) for \(L\) iterations.

General HMC algorithm

  • Input: un-normalized density \(\pi(x)\).
  • Tuning parameters: step size \(\epsilon\), number of steps \(L\), mass matrix \(M\).
  • Initialize \(x^{(0)}\).
  • for \(i = 1, \ldots, n\):
    • generate \(y^{(0)} \sim N(0, M)\);
    • set \(\tilde{x} \leftarrow x^{(i-1)}\), \(\tilde{y} \leftarrow y^{(0)}\);
    • for \(j = 1, \ldots, L\):
      • \(\tilde{y} \leftarrow \tilde{y} + \frac{\epsilon}{2}\nabla_x \log \pi(\tilde{x})\);
      • \(\tilde{x} \leftarrow \tilde{x} + \epsilon M^{-1}\tilde{y}\);
      • \(\tilde{y} \leftarrow \tilde{y} + \frac{\epsilon}{2}\nabla_x \log \pi(\tilde{x})\);
    • \(u \sim \text{Unif}(0, 1)\);
    • if \(u < \exp(-H(\tilde{x}, \tilde{y}) + H(x^{(i-1)}, y^{(0)}))\):
      • \(x^{(i)} \leftarrow \tilde{x}\);
    • else:
      • \(x^{(i)} \leftarrow x^{(i-1)}\);

Remarks

  • Random walk Metropolis can fail badly when the target distribution is multi-modal because it uses proposals that are unrelated to the target distribution.
  • HMC makes better use of what is known about the target distribution by using the gradient of the log density.
  • HMC can only be used to sample from continuous distributions whose density can be evaluated (up to a normalizing constant) and whose gradient can be computed.
  • In particular, HMC cannot be used to sample from discrete distributions.
  • Although we did not show in the class, the HMC indeed has a stationary distribution \(\pi\).
  • See Neal (2011) for more details.

Tuning parameters

  • There are three tuning parameters in HMC: step size \(\epsilon\), number of steps \(L\), and mass matrix \(M\).

  • Small \(\epsilon\):

    • the leapfrog approximation is good
    • higher acceptance rate
  • Large \(L\):

    • bigger moves
    • smaller correlations between successive samples
    • more computation
  • Neal (2011) recommends setting \(\epsilon\) and \(L\) such that the acceptance rate is about 0.65.

  • The mass matrix \(M\) is usually set to be the identity matrix.

No-U-Turn Sampler (NUTS)1

  • The hand-tuning of \(\epsilon\) and \(L\) is tedious and time-consuming.
  • The No-U-Turn Sampler (NUTS) is an extension of HMC that eliminates the need to set the number of steps \(\epsilon\) and \(L\).
  • The main ides behind NUTS is to simulate a trajectory of the Hamiltonian dynamics until it turns back on itself.
  • See Hoffman and Gelman (2014) for more details.
  • Betancourt (2017) also provides a nice introduction to HMC and NUTS.

Distributional Approximation

Motivation

  • We have been focusing on simulating samples from the posterior distribution to make inference.
  • However, the sampling-based approach will be very inefficient for large problems, i.e., a problem with hundreds or thousands of parameters.
  • In such cases, we might want to approximate the posterior distribution with a simpler distribution.
  • That is, we trade accuracy for efficiency.
  • The simplest approach is modal-approximation.
  • However, this approach is not very flexible and does not scale well to high-dimensional problems.
  • There are many other approaches, and we focus on one of them: variational inference.

Variational inference

  • Variational Bayes (VB) is an algorithmic framework for approximating joint distributions.
  • Suppose we want to approximate the posterior distribution \(\pi(\theta \mid y)\) with a simpler distribution \(q(\theta)\) by minimizing the Kullback-Leibler divergence \[ \text{KL}(q\|\pi) = \int \log\frac{q(\theta)}{\pi(\theta \mid y)} q(\theta)d\theta = \E_q\left[\log\frac{q(\theta)}{\pi(\theta \mid y)}\right]. \]
  • The difficulties are:
    • \(\pi(\theta \mid y)\) is available only up to a normalizing constant;
    • we cannot easily take posterior draws from \(\pi(\theta \mid y)\);
    • we cannot easily compute expectations of interest, \(\E(h(\theta) \mid y)\).
  • Hence we are not able to minimize the KL divergence directly.

Evidence Lower Bound (ELBO)

  • The marginal distribution of \(y\) is given by \[ p(y) = \int \pi(y, \theta) d\theta = \int \pi(y \mid \theta) \pi(\theta) d\theta. \]
  • Then the evidence (log of marginal) is \[\begin{align*} \log p(y) & = \log \int p(y, \theta) d\theta = \log \int \frac{p(y, \theta)}{q(\theta)} q(\theta) d\theta\\ & = \log\left(\E_{q}\left[\frac{\pi(y, \theta)}{q(\theta)}\right]\right) \geq \E_q\left[\log p(y, \theta)\right] - \E_q\left[\log q(\theta)\right]. \end{align*}\]
  • The last inequality is due to Jensen’s inequality.
  • The quantity \(\E_q\left[\log p(y, \theta)\right] - \E_q\left[\log q(\theta)\right]\) is called the evidence lower bound (ELBO).

Evidence Lower Bound (ELBO)

  • The KL divergence can be written as \[\begin{align*} \text{KL}(q \| \pi) & = \E_q\left[\log\frac{q(\theta)}{\pi(\theta \mid y)}\right] \\ & = \E_q\left[\log q(\theta)\right] - \E_q\left[\log \pi(\theta \mid y)\right] \\ & = \E_q\left[\log q(\theta)\right] - \E_q\left[\log p(y \mid \theta)\pi(\theta)\right] + \log p(y)\\ & = - \text{ELBO}(q) + \log p(y). \end{align*}\]
  • Hence minimizing the KL divergence is equivalent to maximizing the ELBO.

Class of approximate distributions

  • Now we need to choose a class \(\mc{Q}\) of distributions \(q(\theta)\) to approximate the posterior distribution \(\pi(\theta \mid y)\).
  • We want the \(\mc{Q}\) to be:
    • flexible enough to approximate \(\pi(\theta \mid y)\) well;
    • simple enough to be tractable;
    • the ELBO can be easily computed.
  • The class \(\mc{Q}\) is often a parametric family, i.e., \[ \mc{Q} = \{q(\theta \mid \phi): \phi \in \Phi\}. \] and \(\phi\) is called the variational parameter.

Mean-field variational family

  • The simplest choice of \(\mc{Q}\) is the mean-field variational family: \[ \mc{Q}_{\text{MF}} = \left\{q(\theta \mid \phi) = \prod_{j=1}^d q_j(\theta_j \mid \phi_j): \phi = (\phi_1, \ldots, \phi_d) \in \Phi\right\}. \]
  • The mean-field variational family assumes that the parameters are independent.
  • Obviously, this family does not contain the true posterior distribution.
  • However, it is often used in practice because it is simple and easy to compute.
  • We can also partition \(\theta\) into \(K\) blocks and assume that the parameters between different blocks are independent.

Maximizing ELBO

  • The ELBO is given by \(\text{ELBO}(q) = \E_q\left[\log p(y, \theta)\right] - \E_q\left[\log q(\theta)\right]\).
  • For \(q \in \mc{Q}_{\text{MF}}\), the entropy term is \[ \E_q\left[\log q(\theta)\right] = \E_q\left[\sum_{j=1}^d \log q_j(\theta_j \mid \phi_j)\right] = \sum_{j=1}^d \E_{j}\left[\log q_j(\theta_j \mid \phi_j)\right] \] where \(\E_j\) is the expectation with respect to \(q_j\).
  • The first term is \[\begin{align*} \E_q\left[\log p(y, \theta)\right] &= \int \log \pi(y, \theta) \prod_{j=1}^d q_j(\theta_j) d\theta_1\cdots d\theta_d \\ & = \int \E_{-j}\left[\log \pi(y, \theta)\right] q_j(\theta_j) d\theta_j \\ \end{align*}\]

Maximizing ELBO

  • The ELBO is \[ \mc{L}(q_1, \ldots, q_d) = \int \E_{-j}\left[\log \pi(y, \theta)\right] q_j(\theta_j) d\theta_j - \sum_{j=1}^d \E_{j}\left[\log q_j(\theta_j \mid \phi_j)\right]. \]
  • We need to find \(q_1, \ldots, q_d\) that maximize \(\mc{L}(q_1, \ldots, q_d)\) subject to the constraints \(\int q_j(\theta_j) d\theta_j = 1\).
  • Use Lagrange multipliers, take ``functional derivative’’ with respect to \(q_j\), set it to zero, and we have \[ \log q_j(\theta_j) = \E_{-j}\left[\log \pi(y, \theta)\right] + \text{const}. \]
  • Hence the optimal \(q_j\) is \[ q^{*}_j(\theta_j) \propto \exp\left(\E_{-j}\left[\log \pi(y, \theta)\right]\right). \]

Example: 8-school problem

  • The model in the eight-school problem is \[\begin{align*} Y_i & \ind N(\alpha_i, \sigma_i^2), \quad i = 1, \ldots, 8 \\ \alpha_i & \iid N(\mu, \tau)\\ \pi(\mu, \tau) & \propto 1. \end{align*}\] (It can be shown that the posterior is proper.)
  • Let \(\theta = (\alpha_1, \ldots, \alpha_8, \mu, \tau)\).
  • The log posterior is \[ \log \pi(\theta \mid y) = -\frac{1}{2} \sum_{j=1}^8 \frac{\left(y_j-\alpha_j\right)^2}{\sigma_j^2} - 8 \log \tau-\frac{1}{2} \frac{1}{\tau^2} \sum_{j=1}^8\left(\alpha_j-\mu\right)^2 + \text{const}. \]
  • We consider the mean-field approximation \(q(\theta) = q(\alpha_1) \cdots q(\alpha_8) q(\mu) q(\tau)\).

Mean-field approximation: \(\alpha_j\)

  • Averaging over all the parameters other than \(\alpha_j\), we have \[ \E_{-\alpha_j} \log p(\theta \mid y)=-\frac{1}{2} \frac{\left(y_j-\alpha_j\right)^2}{\sigma_j^2}-\frac{1}{2} \E_{-\alpha_j}\left(\frac{1}{\tau^2}\right) \E_{-\alpha_j}\left(\left(\alpha_j-\mu\right)^2\right)+\text{const.} \] which is a quadratic function of \(\alpha_j\).
  • The optimal \(q(\alpha_j)\) is a Gaussian distribution \[ q\left(\alpha_j\right)=N\left(\alpha_j \middle| \frac{\frac{1}{\sigma_j^2} y_j+\E_{-\alpha_j}\left(\frac{1}{\tau^2}\right) \E_{-\alpha_j}(\mu)}{\frac{1}{\sigma_j^2}+\E_{-\alpha_j}\left(\frac{1}{\tau^2}\right)}, \frac{1}{\frac{1}{\sigma_j^2}+\E_{-\alpha_j}\left(\frac{1}{\tau^2}\right)}\right). \]

Mean-field approximation: \(\mu\)

  • Averaging over all the parameters other than \(\mu\), we have \[ \E_{-\mu} \log p(\theta \mid y) = -\frac{1}{2} \E_{-\mu}\left(\frac{1}{\tau^2}\right) \sum_{j=1}^8\left(\mu - \E_{-\mu} \left(\alpha_j\right)\right)^2+\text{const.} \]
  • The optimal \(q(\mu)\) is also a Gaussian distribution \[ q(\mu)=N\left(\mu \middle| \frac{1}{8} \sum_{j=1}^8 \E_{-\mu}\left(\alpha_j\right), \frac{1}{8} \frac{1}{\E_{-\mu}\left(\frac{1}{\tau^2}\right)}\right) \]

Mean-field approximation: \(\tau\)

  • Averaging over all the parameters other than \(\tau\), we have \[ \E_{-\tau} \log p(\theta \mid y) = -8 \log \tau -\frac{1}{2} \frac{1}{\tau^2} \sum_{j=1}^8 \E_{-\tau}\left(\left(\alpha_j-\mu\right)^2\right)+\text{const.} \]

  • The optimal \(q(\tau^2)\) is an Inverse-Gamma distribution \[ q(\tau^2) = \text{Inv-Gamma}\left(\tau^2 \middle| \frac{7}{2}, \frac{1}{2} \sum_{j=1}^8 \E_{-\tau}\left(\left(\alpha_j-\mu\right)^2\right)\right). \]

Summarizing the mean-field approximation

  • The mean-field approximation is \[\begin{align*} \alpha_j & \sim N(M_{\alpha_j}, S^2_{\alpha_j})\\ \mu & \sim N(M_{\mu}, S^2_{\mu})\\ \tau^2 & \sim \text{Inv-Gamma}\left(\frac{7}{2}, \frac{7}{2}B^2_{\tau}\right). \end{align*}\]
  • Therefore \[\begin{align*} \E_{-\alpha_j}(\tau^{-2}) & = \E_{-\mu}(\tau^{-2})= \frac{1}{B^2_{\tau}}\\ \E_{-\mu}(\alpha_j) & = M_{\alpha_j}\\ \E_{-\tau}(\alpha_j-\mu)^2 & = S^2_{\alpha_j} + M^2_{\alpha_j} - 2M_{\alpha_j}M_{\mu}+ S^2_{\mu} + M^2_{\mu}. \end{align*}\]

Summarizing the mean-field approximation

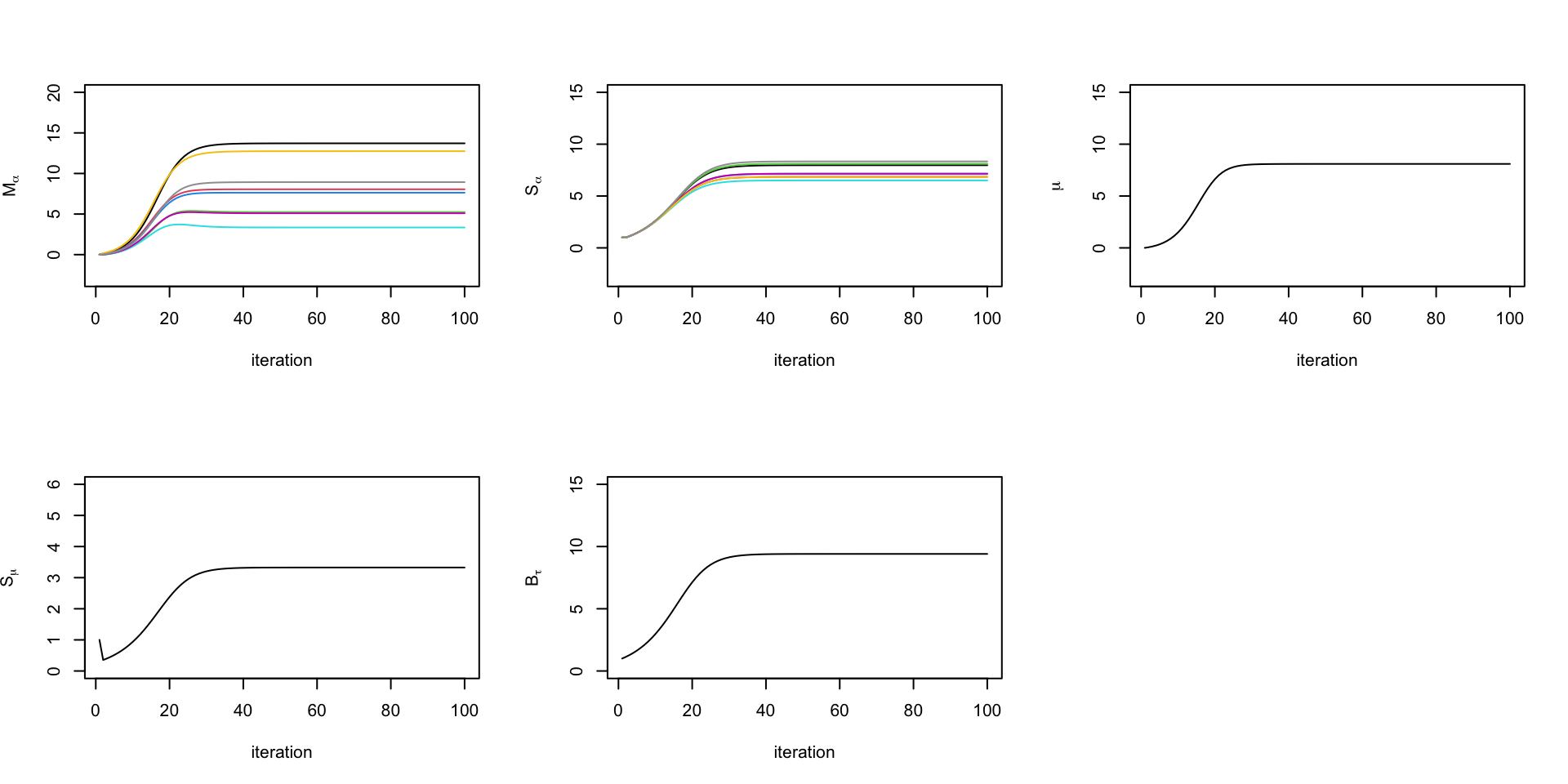
Combining all the results we have

\[\begin{align*} M_{\alpha_j} & = \frac{\frac{1}{\sigma_j^2} y_j+\E_{-\alpha_j}\left(\frac{1}{\tau^2}\right) \E_{-\alpha_j}(\mu)}{\frac{1}{\sigma_j^2}+\E_{-\alpha_j}\left(\frac{1}{\tau^2}\right)} = \frac{\frac{1}{\sigma_j^2} y_j+\frac{1}{B^2_{\tau}} M_{\mu}}{\frac{1}{\sigma_j^2}+\frac{1}{B^2_{\tau}}} = \frac{B^2_{\tau} y_j + \sigma_j^2 M_{\mu}}{\sigma_j^2 + B^2_{\tau}}\\ S^2_{\alpha_j} & = \frac{1}{\frac{1}{\sigma_j^2}+\E_{-\alpha_j}\left(\frac{1}{\tau^2}\right)} = \frac{1}{\frac{1}{\sigma_j^2}+\frac{1}{B^2_{\tau}}} = \frac{B^2_{\tau}\sigma_j^2}{\sigma_j^2 + B^2_{\tau}}\\ M_{\mu} & = \frac{1}{8} \sum_{j=1}^8 \E_{-\mu}(\alpha_j) = \frac{1}{8} \sum_{j=1}^8 M_{\alpha_j}\\ S^2_{\mu} & = \frac{1}{8} \frac{1}{\E_{-\mu}\left(\frac{1}{\tau^2}\right)} = \frac{1}{8} \frac{1}{\frac{1}{B^2_{\tau}}} = \frac{B^2_{\tau}}{8}\\ B^2_{\tau} & = \frac{1}{7} \sum_{j=1}^8 \E_{-\tau}\left(\left(\alpha_j-\mu\right)^2\right) = \frac{1}{7} \sum_{j=1}^8 \left(S^2_{\alpha_j} + M^2_{\alpha_j} - 2M_{\alpha_j}M_{\mu}+ S^2_{\mu} + M^2_{\mu}\right) \end{align*}\]

R code

max_iter <- 100

# Data
y <- c(28, 8, -3, 7, -1, 1, 18, 12)
sig2 <- c(15, 10, 16, 11, 9, 11, 10, 18)^2

# Variational parameter
var_par <- list(M_alpha = matrix(0, nrow = max_iter, ncol = 8), 
                S2_alpha = matrix(1, nrow = max_iter, ncol = 8),
                M_mu = rep(0, max_iter),
                S2_mu = rep(1, max_iter),
                B2_tau = rep(1, max_iter))

for (i in 2:max_iter){
    for(j in 1:8){
        var_par$M_alpha[i, j] <- (var_par$B2_tau[i-1] * y[j] + sig2[j] * var_par$M_mu[i-1]) / 
            (sig2[j] + var_par$B2_tau[i-1])
        var_par$S2_alpha[i, j] <- var_par$B2_tau[i-1] * sig2[j] / 
            (sig2[j] + var_par$B2_tau[i-1])
    }
    var_par$M_mu[i] <- mean(var_par$M_alpha[i, ])
    var_par$S2_mu[i] <- var_par$B2_tau[i-1] / 8
    var_par$B2_tau[i] <- sum(var_par$S2_alpha[i, ])/7 + 
        sum(var_par$M_alpha[i, ]^2)/7 - 
        2*sum(var_par$M_alpha[i, ]) * var_par$M_mu[i]/7 +
        var_par$S2_mu[i]*8/7 + 
        var_par$M_mu[i]^2*8/7
}

Results

VB Inference

Posterior mean and standard deviation
parameter post.mean post.sd
alpha_1 13.715 7.970
alpha_2 8.051 6.852
alpha_3 5.246 8.109
alpha_4 7.633 7.149
alpha_5 3.347 6.503
alpha_6 5.099 7.149
alpha_7 12.746 6.852
alpha_8 8.934 8.337
mu 8.096 3.326
tau 10.591 3.423

VB using Stan

You can also perform VB using Stan. The following is the Stan code for the school example.

school_model <- rstan::stan_model(model_code = "
    data {
      int<lower=0> J;         
      real y[J];              
      real<lower=0> sigma[J];
    }
    parameters {
      real mu;                
      real<lower=0> tau;      
      real alpha[J];
    }
    model {
      alpha ~ normal(mu, tau); // prior
      y ~ normal(alpha, sigma); // likelihood
    }")

VB using Stan

library(rstan)
schools_dat <- list(J = 8,
    y = c(28, 8, -3, 7, -1, 1, 18, 12),
    sigma = c(15, 10, 16, 11, 9, 11, 10, 18)) 
fit_vb <- rstan::vb(school_model, data = schools_dat, 
                    algorithm = "meanfield")
fit_sampling <- rstan::sampling(school_model, data = schools_dat, 
                                iter = 1000, chains = 4)

Stan output (VB)

chain:1
mu 1.960
tau 10.271
alpha.1 4.828
alpha.2 2.878
alpha.3 -0.873
alpha.4 1.647
alpha.5 0.027
alpha.6 1.156
alpha.7 5.013
alpha.8 1.404
lp__ 0.000

Stan output (sampling)

mean-chain:1 mean-chain:2 mean-chain:3 mean-chain:4 mean-all chains
mu 8.184 7.792 7.693 8.177 7.961
tau 7.277 7.948 8.428 6.167 7.455
alpha[1] 12.076 11.829 11.925 10.648 11.619
alpha[2] 8.036 8.353 8.149 8.519 8.264
alpha[3] 6.550 5.451 5.088 6.471 5.890
alpha[4] 7.620 7.781 7.503 8.004 7.727
alpha[5] 4.761 4.094 4.231 5.642 4.682
alpha[6] 6.059 5.497 6.013 6.566 6.034
alpha[7] 11.143 11.490 11.501 10.567 11.175
alpha[8] 8.447 8.167 7.922 8.836 8.343
lp__ -18.207 -19.714 -19.857 -17.177 -18.739

Remark

The rstan::vb function is buggy and unstable. DO NOT use it for your research.